2025年秋江苏开放大学工科数学基础050086过程性考核作业(二)答案
文档介绍
注意:因为学习平台题目是随机,选择题选项也是随机,一定注意答案对应的选项,同学们在本页按“Ctrl+F”快捷搜索题目中“关键字”就可以快速定位题目!!!
试题列表
- A
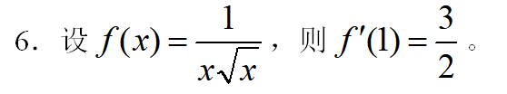
对
- B
错
- A

- B

- C

- D

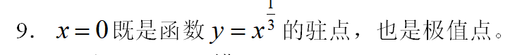
- A
错
- B
对
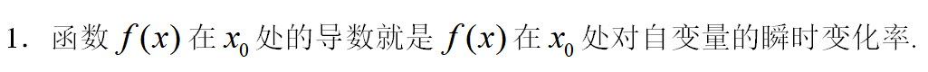
- A
对
- B
错
- A

- B

- C

- D

- A
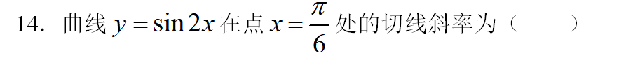
9
- B
1
- C
5
- A

- B

- C

- D

- A

- B

- C

- D

- A
2
- B
0
- C
1
- D
-2
- A
错
- B
对
- A
对
- B
错
- A
其它
- B

- C
4
- A
对
- B
错
- A

- B

- C

- D

- A

- B
1
- C

- A
对
- B
错
- A

- B

- C

- D

- A
对
- B
错
- A
0
- B
1
- C
3
- A

- B

- C

- D

- A

- B

- C

- D

- A
错
- B
对
- A
对
- B
错
- A
-1
- B
-15
- C
15
- A

- B

- C

- D

题型:
单选题
客观题
分值
4
分
难度:
较难
得分:
4
1

老师点评:
题型:
单选题
客观题
分值
4
分
难度:
中等
得分:
4
2

老师点评:
题型:
单选题
客观题
分值
4
分
难度:
中等
得分:
4
3

老师点评:
题型:
单选题
客观题
分值
4
分
难度:
一般
得分:
4
4

老师点评:
题型:
单选题
客观题
分值
4
分
难度:
中等
得分:
4
5

老师点评:
题型:
单选题
客观题
分值
4
分
难度:
一般
得分:
4
6

老师点评:
题型:
单选题
客观题
分值
4
分
难度:
一般
得分:
4
7

老师点评:
题型:
单选题
客观题
分值
4
分
难度:
一般
得分:
4
8

老师点评:
题型:
单选题
客观题
分值
4
分
难度:
一般
得分:
4
9

老师点评:
题型:
单选题
客观题
分值
4
分
难度:
一般
得分:
4
10

老师点评:
题型:
单选题
客观题
分值
4
分
难度:
较难
得分:
4
11

老师点评:
题型:
单选题
客观题
分值
4
分
难度:
较难
得分:
4
12

老师点评:
题型:
单选题
客观题
分值
4
分
难度:
简单
得分:
4
13

老师点评:
题型:
单选题
客观题
分值
4
分
难度:
中等
得分:
4
14

老师点评:
题型:
单选题
客观题
分值
4
分
难度:
一般
得分:
4
15

老师点评:
题型:
单选题
客观题
分值
4
分
难度:
中等
得分:
4
16

老师点评:
题型:
单选题
客观题
分值
4
分
难度:
简单
得分:
4
17

老师点评:
题型:
单选题
客观题
分值
4
分
难度:
一般
得分:
4
18

老师点评:
题型:
单选题
客观题
分值
4
分
难度:
一般
得分:
4
19

老师点评:
题型:
单选题
客观题
分值
4
分
难度:
一般
得分:
4
20

老师点评:
题型:
单选题
客观题
分值
4
分
难度:
一般
得分:
4
21

老师点评:
题型:
单选题
客观题
分值
4
分
难度:
简单
得分:
4
22

老师点评:
题型:
单选题
客观题
分值
4
分
难度:
中等
得分:
4
23

老师点评:
题型:
单选题
客观题
分值
4
分
难度:
中等
得分:
4
24

老师点评:
题型:
单选题
客观题
分值
4
分
难度:
一般
得分:
4
25

老师点评:
©软件著作权归作者所有。本站所有软件均来源于网络,仅供学习使用,请支持正版!
转载请注明出处: 形易网 » 2025年秋江苏开放大学工科数学基础050086过程性考核作业(二)答案

发表评论 取消回复