2025年秋江苏开放大学工程建设监理060071形考作业2答案
文档介绍
注意:因为学习平台题目是随机,选择题选项也是随机,一定注意答案对应的选项,同学们在本页按“Ctrl+F”快捷搜索题目中“关键字”就可以快速定位题目!!!
同专业其他作业点击右侧标签查看
试题列表
单选题
题型:单选题客观题分值2分难度:简单得分:2
1
根据《建设工程监理规范》,以下关于总监理工程师的职责的表述,错误的是( )。
A
主持或参与工程质量事故的调查
B
审查和处理工程变更
C
审查分包单位的资质,并提出审查意见
D
组织编写监理工作阶段报告、专题报告和项目可行性研究报告
学生答案:D
老师点评:
题型:单选题客观题分值2分难度:简单得分:2
2
属于向地方城建档案管理部门报送工程档案的工程项目,应由( )会同地方城建档案管理部门共同验收。
A
建设单位
B
施工单位
C
监理单位
D
勘察单位
学生答案:A
老师点评:
题型:单选题客观题分值2分难度:简单得分:2
3
《建设工程质量管理条例》规定,屋面防水工程、有防水要求的卫生间、房间和外墙面的防渗漏的保修期为( )年。
A
1
B
2
C
4
D
5
学生答案:D
老师点评:
题型:单选题客观题分值2分难度:简单得分:2
4
建设工程档案套数一般不少于( )套。.
A
2
B
3
C
4
D
6
学生答案:A
老师点评:
题型:单选题客观题分值2分难度:简单得分:2
5
某道路工程划分为3个施工过程在5个施工段组织加快的成倍节拍流水施工,流水节拍值分别为4、2、6天,该工程的流水施工工期为( )天。
A
28
B
20
C
16
D
14
学生答案:B
老师点评:
题型:单选题客观题分值2分难度:简单得分:2
6
在组织中,直接调动和组织人力、财力、物力等具体活动是( )的体现。
A
决策层
B
协调层
C
执行层
D
操作层
学生答案:C
老师点评:
题型:单选题客观题分值2分难度:简单得分:2
7
某分部工程有3个施工过程,各分为4个施工段组织加快的成倍节拍流水施工,各施工过程的流水节拍分别为6天、8天和10天。则该分部工程的流水施工工期是( )天。
A
24
B
30
C
34
D
42
学生答案:B
老师点评:
题型:单选题客观题分值2分难度:简单得分:2
8
根据工程延期的审批程序,当延期事件具有持续性,承包单位在合同规定的有效期内不能提交最终详细的申述报告时,应先向监理工程师提交该延期事件的( )。
A
工程延期估计值
B
延期意向通知
C
阶段性详情报告
D
临时延期申请书
学生答案:C
老师点评:
题型:单选题客观题分值2分难度:简单得分:2
9
《建设工程监理规范》规定,承包单位报送的分项工程质量验评资料应由( )进行审核。
A
总监理工程师
B
总监理工程师代表
C
专业监理工程师
D
监理员
学生答案:C
老师点评:
题型:单选题客观题分值2分难度:简单得分:2
10
《建设工程监理规范》规定,承包单位报送的分项工程质量验评资料应由( )进行审核。
A
总监理工程师
B
总监理工程师代表
C
专业监理工程师
D
监理员
学生答案:C
老师点评:
多选题
题型:多选题客观题分值3分难度:简单得分:3
1
监理服务是监理单位的高智能投入,服务工作的好坏取决于( )。
A
参与监理工作人员的业务专长和经验
B
是否遵循了规范化的管理程序和方法
C
监理工作的内容和范围
D
参与监理工作人员的创新想象力和风险意识
E
监理招标的成功与否
学生答案:A;B;D
老师点评:
题型:多选题客观题分值3分难度:简单得分:3
2
下列关于目标控制计划的说法中,正确的有( )。
A
计划不仅是工程实施的依据,也是对目标的进一步论证
B
计划是许多更细、更具体目标的组合
C
制订计划要考虑各种风险因素对计划实施的影响
D
对计划的优化实际上是做多方案的技术分析和比较
E
计划制订得越早,目标控制的效果越好
学生答案:A;B;C;D
老师点评:
题型:多选题客观题分值3分难度:简单得分:3
3
某工程项目出现了需要加固补强的质量问题,设计单位对此提出了处理方案,监理工程师在审核确认该处理方案时,应坚持( )原则。
A
安全可靠、不留隐患
B
满足建筑物的功能和使用要求
C
技术可行
D
经济合理
E
时间最短
学生答案:A;B;C;D
老师点评:
题型:多选题客观题分值3分难度:简单得分:3
4
下列关于目标控制计划的说法中,正确的有( )。
A
计划不仅是工程实施的依据,也是对目标的进一步论证
B
计划是许多更细、更具体目标的组合
C
制订计划要考虑各种风险因素对计划实施的影响
D
对计划的优化实际上是做多方案的技术分析和比较
E
计划制订得越早,目标控制的效果越好
学生答案:A;B;C;D
老师点评:
题型:多选题客观题分值3分难度:简单得分:3
5
在监理工作的基本表式中,《报验申请表》可用于( )的申报。
A
开工或复工
B
施工放样检验
C
隐蔽工程检查和验收
D
分项、分部、单位工程质量验收
E
竣工验收
学生答案:B;C;D
老师点评:
简答题
题型:简答题主观题分值20分难度:简单得分:20
1
由某企业承建的某多功能现代化商务综合大厦,地上46层,地下3层,全现浇钢筋混凝土框架-剪力墙结构,主体结构采用泵送混凝土等新技术。建筑物周边都十分接近规划红线,周边建筑及地下管线对因工程基坑开挖引起地层变形移动影响十分敏感,且基坑北面临近地铁。该工程地下室基坑开挖深度较大,为确保基坑开挖安全编制了专项施工方案,并由安全总监签字确认后实施。该地下室位于总厚达40m多的淤泥质土之中,根据本工程的特点,经多方案比较,决定基坑围护结构采用80cm厚的地下连续墙,而支护结构则为五道钢筋混凝土水平支撑的总体方案。经验算,可以满足结构变形和稳定要求,确保地下室开挖施工不致于影响地铁的正常运行、周边道路、建筑物及各种地下管线的正常使用。在工程施工中发生如下事件:
事件一:本工程地下水位较高,约为-0.5m,开挖范围位于淤泥质土体内,含水量大,施工必须事前采取降水措施,因基坑围护是采用地下连续墙,具有较好的挡水和抗渗性能。结合实际情况,决定采用轻型井点降水并编制了降水施工方案。
事件二:根据地质勘察资料、上部结构形式、荷载和施工条件等情况,基础施工采用人工挖孔扩底灌注桩与平板式筏形基础,板厚2m,桩基承台连同地下室的筏形基础同时展开施工。基础底板厚2m,桩基承台厚1.8m,混凝土强度等级C40,抗渗等级P8。由于承台和筏板混凝土浇筑量大,在开始阶段施工中出现了少许裂缝。为确保施工质量,项目部制定了以下控制裂缝的措施:
(1)优先选用低水化热的普通硅酸盐水泥拌制混凝土,并适当加入木质素磺酸钙减水剂。
(2)在保证混凝土设计强度等级的前提下,适当提高水灰比,减少水泥用量。
(3)降低混凝土的浇筑温度,控制混凝土内外温差在30℃以内。
(4)分层分块逐步浇筑,加强养护,及时对混凝土进行覆盖保温、保湿材料。
(5)预埋冷却管,通入循环水将混凝土内部降温。
事件三:在进行办公楼大厅顶盖模板支架预应力混凝土空心板现场浇筑施工时,发生模板支撑体系坍塌事故,造成6人死亡、12人受伤。经有关部门调查,造成事故主要原因是模板支架搭设质量不符合要求;现场搭设模板支架中使用的部分钢管材料存在质量缺陷;施工现场管理存在严重问题。事后,建设行政主管部门对该施工企业作了相应的行政处罚,公安机关依法对有关责任单位的涉案人员追究刑事责任。
问题
(1)结合事件一说明井点降水施工方案的内容主要包括哪些?
(2)请指出本案例中有哪些不妥之处,并说明理由。
(3)分析说明事件二承台和筏板混凝土浇筑中出现裂缝的主要原因是什么?
(4)事件三工程事故可定为几级重大事故?请说明理由。
(5)事件三事故类型是什么?
学生答案:(购买后获取答案)
题型:简答题主观题分值20分难度:简单得分:20
2
2007年8月13日,湖南省湘西自治州凤凰县正在建设的堤溪沱江大桥发生坍塌事故,造成64人死亡22人受伤,直接经济损失3974.7万元。
(一)事故原因和性质
1.直接原因。
由于大桥主拱圈砌筑材料未满足规范和设计要求,拱桥上部构造施工工序不合理,主拱圈砌筑质量差,降低了拱圈砌体的整体性和强度,随着拱上荷载的不断增加,造成1号孔主拱圈靠近0号桥台一侧约3~4m宽范围内,即2号腹拱下的拱脚区段砌体强度达到破坏极限而坍塌,受连拱效应影响,整个大桥迅速坍塌。
2.间接原因。
①施工单位项目经理部擅自变更原主拱圈施工方案,现场管理混乱,违规乱用料石,主拱圈施工不符合规范要求,在主拱圈未达到设计强度的情况下就开始落架施工作业。②建设单位项目管理混乱,对发现的施工质量问题未认真督促施工单位整改,未经设计单位同意擅自与施工单位变更原主拱圈设计施工方案,盲目倒排工期赶进度,越权指挥,甚至要求监理不要上桥检查。③监理单位未能制止施工单位擅自变更原主拱圈施工方案,对发现的主拱圈施工质量问题督促整改不力,在主拱圈砌筑完成但强度资料尚未测出的情况下即签字验收合格。
3.事故性质:
这是一起生产安全责任事故。
(二)对事故责任人员及责任单位的处理
1.移送司法机关处理人员。移送司法机关处理人员共13人。其中:监理公司现场监理处副处长兼现场监理余xx,涉嫌工程重大安全事故罪;现场监理处处长李xx,涉嫌工程重大安全事故罪。
2.给予党纪、政纪处分人员。给予党纪、政纪处分人员共19人。其中:监理公司党支部书记、副经理续xx,对事故发生负有重要领导责任,给予行政记大过、党内警告处分;监理公司总工汤x,对事故发生负有主要领导责任,给予行政撤职、党内严重警告处分。
3.对事故有关人员的处理……
4.对事故有关单位的处理。……暂扣监理有限公司“工程监理证书”等有关证照。
(三)中央电视台专访的专家视点
沱江大桥突然坍塌存在以下几个问题:
1.为了州庆缩短大桥养护期。沱江大桥施工工期过紧,施工中变更了主拱圈砌筑的程序,拱架拆卸过早。据了解,主拱圈的养护期是28天,第19天开始卸架,养护期不够,比规定少了9天。因为养护期减短,大桥拱圈承载能力减弱。
2.桥下地质复杂,桥墩严重裂缝。施工中就已经发现桥墩的地质构造比较复杂,而且还发现0号桥墩下面有严重裂隙。施工中虽然对此处进行了一些处理,但现在看来,没有从根本上解决问题。大桥垮塌的方向从0号桥墩开始,像积木一样顺一个方向垮塌。
3.所用沙石含土量过高。主拱圈砌筑质量有问题。砌筑要使用料石,但事故后发现,塌下来的主拱圈中还有片石;砌筑的砂浆不饱满,有空隙、空洞;沙石含泥量比较高,影响混凝土的黏结力。
4.工程层层分包,质量管理混乱。质量管理方面存在问题。施工中有工程变更,却没有及时告知监理单位;监理单位发现了问题,没有及时向上级部门反映;工程分包单位多,层层分包。
问题:
1.上述案例中,监理工程师巡视发现施工单位未按主拱圈施工方案施工时,该如何处理?
2.安全监理工作中,监理工程师该如何检查分包单位?
3.事故发生后,监理工程师应做哪些工作?
问题:
1.上述案例中,监理工程师巡视发现施工单位未按主拱圈施工方案施工时,该如何处理?
2.安全监理工作中,监理工程师该如何检查分包单位?
3.事故发生后,监理工程师应做哪些工作?
学生答案:(购买后获取答案)
题型:简答题主观题分值25分难度:简单得分:25
3
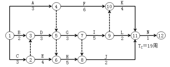
某工程,施工合同中约定:工期19周;钢筋混凝土基础工程量增加超出15%时,结算时对超出部分按原价的90%调整单价。经总监理工程师批准的施工总进度计划如下图所示,其中A、C工作为钢筋混凝土基础工程,B、G工作为片石混凝土基础工程,D、E、F、H、I工作为设备安装工程,K、L、J、N工作为设备调试工作。
施工过程中,发生如下事件:
事件1:合同约定A、C工作的综合单价为700元/m3。在A、C工作开始前,设计单位修改了设备基础尺寸,A工作的工程量由原来的4200m3增加到7000m3,C工作的工程量由原来的3600m3减少到2400m3。
事件2:A、D工作完成后,建设单位拟将后续工程的总工期缩短2周,要求项目监理机构帮助拟定一个合理的赶工方案以便与施工单位洽商,项目监理机构提出的后续工作可以缩短的时间及其赶工费率见下表。
后续工作可以缩短的时间与赶工费率 
问题:
1.事件1中,设计修改后,在单位时间完成工程量不变的前提下,A、C工作的持续时间分别为多少周?对合同总工期是否有影响?为什么?A、C工作的费用共增加了多少?
2.事件2中,项目监理机构如何调整计划才能既实现建设单位的要求又能使赶工费用最少?说明理由。增加的最少赶工费用是多少?
学生答案:(购买后获取答案)
©软件著作权归作者所有。本站所有软件均来源于网络,仅供学习使用,请支持正版!
转载请注明出处: 形易网 » 2025年秋江苏开放大学工程建设监理060071形考作业2答案

发表评论 取消回复