2025年秋江苏开放大学测试技术060245作业1
文档介绍
注意:因为学习平台题目是随机,选择题选项也是随机,一定注意答案对应的选项,同学们在本页按“Ctrl+F”快捷搜索题目中“关键字”就可以快速定位题目!!!
同专业其他作业点击右侧标签查看
试题列表
单选题
题型:单选题客观题分值5分难度:中等得分:5
1非线性度是表示定度曲线( )的程度。
A接近真值
B偏离其拟合直线
C正反行程的不重合
学生答案:B
老师点评:
题型:单选题客观题分值5分难度:一般得分:5
2以下对光纤传感器的说法错误的是哪项?
A能够实现多种物理量的测量
B可将被测对象的状态转变为可测的光信号的传感器
C属于新型传感器
D不适用于高电压、强电磁场干扰的场合
学生答案:D
老师点评:
题型:单选题客观题分值5分难度:一般得分:5
3测试装置能检测输入信号的最小变化能力,称为( )。
A精密度
B分辨力
C灵敏度
D精度
学生答案:B
老师点评:
题型:单选题客观题分值5分难度:中等得分:5
4多种信号之和的频谱是( )。
A周期性的
B连续的
C离散的
D随机性的
学生答案:D
老师点评:
题型:单选题客观题分值5分难度:一般得分:5
5用常系数微分方程描述的系统称为( )系统。
A力学
B物理
C相似
D线性
学生答案:D
老师点评:
题型:单选题客观题分值5分难度:中等得分:5
6以下哪项仪器仪表应用到了超声波传感器?
A自动感应门
B心室导管式微音器
C烟雾报警器
D深海探测器
学生答案:D
老师点评:
题型:单选题客观题分值5分难度:中等得分:5
7如果一个信号的频谱是离散的,则该信号的频率成分是( )。
A无限的
B有限的
C可能是有限的,也可能是无限的
学生答案:C
老师点评:
题型:单选题客观题分值5分难度:一般得分:5
8描述非周期信号的数学工具是( )。
A傅氏级数
B傅氏变换
C拉氏变换
D三角函数
学生答案:B
老师点评:
题型:单选题客观题分值5分难度:中等得分:5
9在AGV自动送货车中,红外线色彩传感器主要用来做什么?
A控制运动轨迹
B判断物品所在位置和距离
C判断速度快慢
D货品识别
学生答案:A
老师点评:
题型:单选题客观题分值5分难度:中等得分:5
10测试装置的频响函数H(jω)是装置动态特性在( )中的描述。
A复数域
B频率域
C幅值域
D时域
学生答案:B
老师点评:
题型:单选题客观题分值5分难度:中等得分:5
11以下哪项不属于测试技术的内容
A测量方法
B测量原理
C信号显示
D数据处理
学生答案:C
老师点评:
题型:单选题客观题分值5分难度:一般得分:5
12一般来说,测试系统的灵敏度越高,其测量范围( )。
A不变
B越窄
C越宽
学生答案:B
老师点评:
题型:单选题客观题分值5分难度:一般得分:5
13复杂周期信号的频谱是( )。
Aδ函数
B连续的
Csinc函数
D离散的
学生答案:D
老师点评:
题型:单选题客观题分值5分难度:中等得分:5
14
A
对称
B
相似
C
频移
D
时移
学生答案:D
老师点评:
题型:单选题客观题分值5分难度:中等得分:5
15在工业生产线在线检测中,用来检查零件的尺寸,判断是否有缺陷的传感器是哪个?
A光电传感器
B压力传感器
C红外传感器
D液位传感器
学生答案:A
老师点评:
填空题
题型:填空题客观题答案不允许乱序分值8分难度:较难得分:8
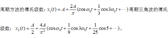
1
,它们的直流分量分别是
和 ,信号的收敛速度上,方波信号比三角波信号 ,达到同样的测试精度要求时,方波信号比三角波信号对测试装置的要求有更宽的 。
第1空分值:2分
第2空分值:2分
第3空分值:2分
第4空分值:2分
学生答案:A;A/2;更慢;工作频带
简答题
题型:简答题主观题分值10分难度:困难得分:10
1
学生答案:(购买后获取答案)
题型:简答题主观题分值7分难度:中等得分:72阐述什么是测试,测量,二者有何区别?
学生答案:(购买后获取答案)
©软件著作权归作者所有。本站所有软件均来源于网络,仅供学习使用,请支持正版!
转载请注明出处: 形易网 » 2025年秋江苏开放大学测试技术060245作业1

发表评论 取消回复