2025年秋江苏开放大学物流运筹管理060181学习任务1
文档介绍
注意:因为学习平台题目是随机,选择题选项也是随机,一定注意答案对应的选项,同学们在本页按“Ctrl+F”快捷搜索题目中“关键字”就可以快速定位题目!!!
同专业其他作业点击右侧标签查看
一、作业题目:
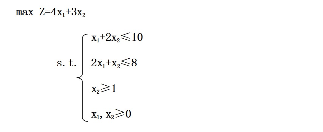
分别用图解法和单纯形法求解下列线性规划问题:

要求:
1、在白纸上进行手写计算回答,然后拍照,将照片插入本文档解答区域。
2、不要抄袭,不要雷同。
二、解答提示:
1、图解法提示:先根据约束条件画出可行解范围,然后平移目标函数直线找到极值。
2、单纯形法求解提示:先将模型转换为标准型后再绘制单纯形表,将数据填入相应位置,然后进行求解。
三、解答区域:
©软件著作权归作者所有。本站所有软件均来源于网络,仅供学习使用,请支持正版!
转载请注明出处: 形易网 » 2025年秋江苏开放大学物流运筹管理060181学习任务1

发表评论 取消回复